L’étude FACIL-VAA prouve les bienfaits à long terme de la ventilation auto-asservie

L’étude FACIL-VAA est une cohorte observationnelle française de patients souffrant d’apnées centrales, portée par la SFRMS, la SPLF et la SFC. Elle a évalué les bénéfices à 6 mois de la ventilation auto-asservie (VAA) pour ces patients. Ses résultats, publiés dans la revue Chest, mettent en évidence une amélioration durable de la qualité du sommeil, de la somnolence diurne et de la fatigue, soulignant l’importance de la VAA comme traitement efficace et bien toléré pour l’apnée centrale du sommeil. Renaud Tamisier, président de la SFRMS et premier auteur de cette étude, a aidé à la rédaction de cet article.

Préambule – Les apnées centrales

Les apnées du sommeil constituent un trouble du sommeil très fréquent et loin d’être anodin. On peut diviser ces syndromes d’apnées du sommeil (SAS) en deux grandes catégories.

Tout d’abord, le syndrome d’apnées obstructives du sommeil (SAOS). C’est le syndrome le plus fréquent, représentant environ 90% des cas. Ces apnées sont causées par une fermeture des voies aériennes supérieures qui empêche l’air d’arriver jusqu’aux poumons. En dehors des changements d’hygiène de vie pour tenter d’obtenir une perte de poids, leur traitement le plus courant est la pression positive continue (PPC), un générateur d’air sous pression qui empêche la fermeture des voies aériennes.

La seconde catégorie, ce sont les syndromes d’apnées centrales. Les apnées centrales en revanche n’ont pas de cause anatomique au niveau des voies aériennes. Elles découlent d’une absence de commande du cerveau vers les muscles de la respiration qui fonctionnent habituellement de manière rythmique, même pendant le sommeil.

Il existe une grande variété de causes sous-jacentes à la survenue des apnées centrales, notamment les maladies cardiovasculaires, les troubles neurologiques, les accidents vasculaires cérébraux et l’utilisation de médicaments tels que les opioïdes ou le ticagrélor. Lorsqu’aucune cause spécifique n’a été identifiée, on parle alors d’un syndrome idiopathique.

Pour stabiliser efficacement la ventilation et atténuer les évènements respiratoires pendant le sommeil, les patients ne sont pas mis sous PPC mais sous ventilation auto-asservie (VAA). Cette aide inspiratoire varie cycle à cycle, en fonction de la ventilation mesurée chez le patient.

Attention toutefois, cette thérapie présente une contre-indication notable, révélée en 2015 dans l’étude SERVE-HF. Cette recherche a montré une augmentation de la mortalité cardiovasculaire et toutes causes confondues chez les patients en insuffisance cardiaque avec fraction d’éjection réduite en dessous de 45%.

Afin d’approfondir les connaissances et d’étudier l’impact clinique de la VAA dans le cadre d’un syndrome d’apnées centrales au cours du sommeil, la cohorte observationnelle multicentrique Française de patients ayant un syndrome d’Apnées du sommeil Central ou combIné avec SAS centraL prédominant, traités par Ventilation Auto-Asservie (FACIL-VAA) a été lancée.

Promue par la SFRMS, cette étude a permis de fédérer trois constructeurs et une trentaine de centres investigateurs. Les études précédentes sur le SAS central se concentraient sur l’amélioration du pronostic cardio-vasculaire mais négligeaient la qualité de vie et les symptômes. FACIL-VAA a donc été construite pour approfondir ces aspects essentiels de la thérapie par VAA. Les résultats obtenus après un suivi de 6 mois viennent d’être publiés dans la prestigieuse revue Chest.

Méthodologie

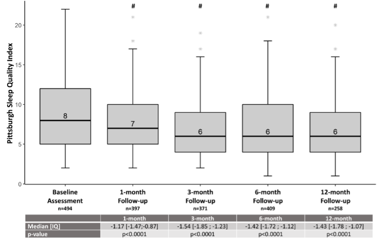
FACIL-VAA est une étude de cohorte comportant 526 patients, inclus entre 2017 et 2020. Âgés en moyenne de 69 ans, les participants présentaient tous un SAS central et ont suivi le même parcours. Un appareillage de VAA, choisi parmi ceux des trois constructeurs partenaires, a été mis en place avec un contrôle de la ventilation délivrée par la machine. Les participants ont ensuite été suivis cliniquement à quatre reprises : 1, 3, 6 et 12 mois après l’appareillage. Le critère d’évaluation principal, la qualité de sommeil, a été estimé grâce au Pittsburgh Sleep Quality Index (PSQI). Les critères d’évaluations secondaires tels que la mesure de la somnolence, la fatigue ou encore la qualité de vie ont également été évalués à l’aide de questionnaires. Cette étude est donc centrée sur les PROMs (Patient-Reported Outcome Measures), des outils d’évaluation qui permettent de mesurer l’état de santé d’un patient directement à partir de ses propres ressentis.

Les forces méthodologiques de cette étude résident notamment dans la représentation clinique de l’échantillon analysé par rapport à la population réelle et la diversité des appareillages de VAA utilisés.

Une amélioration durable des symptômes

L’étude démontre que la VAA est associée à une amélioration globale de la qualité de vie, de la qualité de sommeil et des symptômes des patients appareillés. En ce qui concerne le PSQI, plus de 60% des participants ont vu leur score augmenter d’au moins un point, traduisant un meilleur sommeil. Ces bénéfices ont été visibles un mois après l’appareillage et se sont maintenus dans le temps. Il est également important de souligner que l’utilisation de la VAA dans cette population étudiée, représentative de la réalité clinique, était relativement importante lors du suivi à 6 mois (médiane de 6,1 heures par nuit), et qu’aucun problème de sécurité lié n’a été observé.

Comme soupçonné, les patients âgés de 75 ans ou plus étaient moins susceptibles de constater une amélioration de la qualité du sommeil pendant la thérapie par VAA. Il est possible que ce groupe d’individus présente d’autres causes de troubles du sommeil qui ne sont pas améliorées par cet appareil.

Diagramme montrant l'évolution entre l'état initial et le suivi à 12 mois de la qualité du sommeil d'après le PSQI pendant le traitement par VAA (les scores les plus bas indiquent une meilleure qualité du sommeil).

Des trajectoires variées

Les patients enrôlés dans FACIL-VAA ont pu être divisés en groupes.

La première façon de les classer a été de distinguer les patients naïfs avec un SAS central décelé au diagnostic, et les patients non-naïfs. Pour ces derniers, les patients présentaient un SAOS avec des éléments centraux non corrigés par la PPC.

La classification peut également se faire en fonction de l’étiologie présumée des apnées centrales, observées en air ambiant ou sous PPC. Les étiologies possibles sont l’insuffisance cardiaque, les arythmies cardiaques, les accidents vasculaires cérébraux, les traitements médicamenteux, ou l’absence d’étiologie identifiable. Il convient de souligner la possibilité d’une étiologie complexe, correspondant aux patients présentant initialement un SAOS pur et qui, sous l’effet de la PPC, peuvent développer des apnées centrales persistantes au dela de 3 mois de traitement

Les auteurs de l’étude soulignent que la trajectoire d’évolution des symptômes n’est pas la même chez tous les patients. Cette variabilité d’efficacité de la VAA s’explique probablement par l’étiologie du SAS central ou la présence potentielle d’une composante obstructive.

Vers le futur de la VAA

Cette étude démontre les bénéfices cliniques durables d’un appareillage par ventilation auto-asservie pour les patients atteints d’un SAS central. Grâce aux résultats obtenus, deux fabricants partenaires ont obtenu un remboursement spécifique de la VAA, auparavant mélangé aux prescriptions pour la PPC.

De futures publications sont à attendre de la cohorte montée pour FACIL-VAA, notamment en ce qui concerne le suivi de morbi-mortalité et le désappareillage des patients au long cours. Une extension de l’étude pour certains patients avec un suivi à long terme sur 5 années supplémentaires est actuellement en cours.